Ecos Hotel anuncia vagas de emprego para Camareira e Auxiliar de Copa em Rolim...
Publicado em 17/11/2025 09:35 hrs
Fonte: Assessoria - Em UTILIDADE PÚBLICA - 28/09/2023 13:41:00
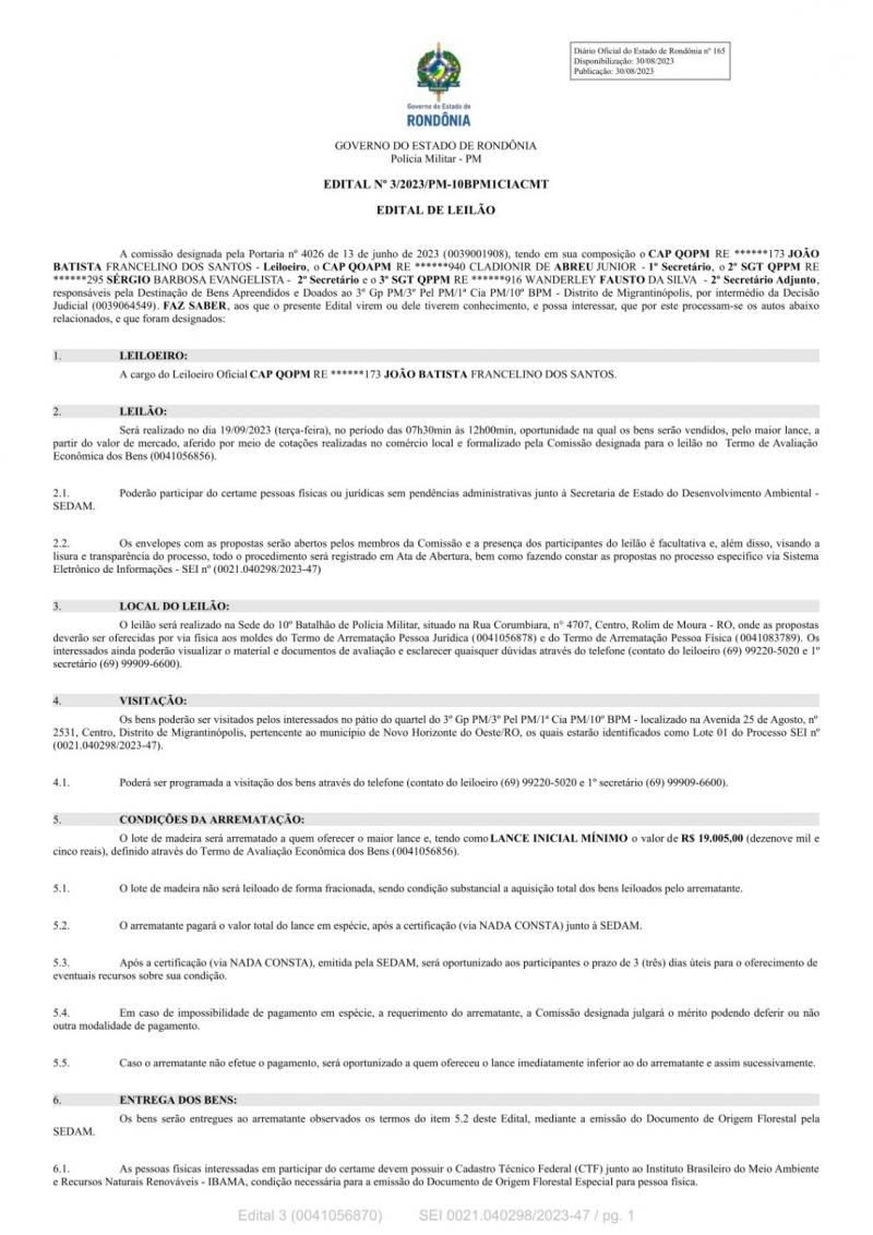
A Polícia Militar do 10º Batalhão, no distrito em Migrantinópolis, localizada na Avenida 25 de Agosto, nº 2531, Centro, pertencente ao município de Novo Horizonte do Oeste/RO, representada pelo presidente da comissão, Capitão da PM João Batista Francelino dos Santos, comunica que lançou o Edital número 2/2023/PM-10BPM1CIACMT, para a venda de 331 (trezentas e trinta e uma lascas) e 10 (dez mourões) ambos de madeira Itaúba, concedidas por decisão do Poder Judiciário da Comarca de Nova Brasilâncdia do Oeste, conforme imagenns do Edital abaixo.
O lote de madeira não será leiloado de forma fracionada, sendo condição substancial a aquisição total dos bens leiloados pelo arrematante, sendo que o lote será arrematado por quem oferecer o maior lance, tendo como LANCE INICIAL MÍNIMO o valor de R$ 19.005,00 (dezenove mil e cinco reais).
DA VISITAÇÃO DOS BENS:
Os bens poderão ser visitados de segunda a sexta-feira, das 07:30 às 13:30, entre os dias 08 e 19 de setembro de 2023, no pátio do quartel da Polícia Militar de Migrantinópolis.
CONTATOS:
(69) 3442-1319, ou (69) 9 9220-5020 (WhatsApp do Leiloeiro), (69) 9 9243-7909 (WhatsApp do Secretário), (69) 9 8488-3183 (WhatsApp do Comandante da PM em Migrantinópolis).



Publicado em 17/11/2025 09:35 hrs
Publicado em 12/11/2025 11:34 hrs
Publicado em 10/11/2025 11:41 hrs
Publicado em 07/11/2025 13:25 hrs